线束工程师服务平台
可以搜到:产品、技术、资料、新闻、检测、企业、视频
在电连接产品的设计及工程开发工作中,经常会遇到导体载流系数的估算。比如:电力、新能源等行业的线束、铜铝母线等,较多技术人员根据经验“拍脑袋”式确定。此类方法一般会形成较多设计冗余或略有不足的可能,建议进一步将其量化分析。

常见规则截面导体
顾名思义,载流系数即导体单位截面可通过的额定电流。从定义看载流系数仅与导体的材质、截面积相关,实则不然。
关于载流系数的量化,需先从温升原理进行探讨。
无论是电力传输的导体,还是电器原件,因为本身有电阻,电流经过会把一部分电能转换为热能。
注:超导体除外,特定环境下超导体电阻为0。
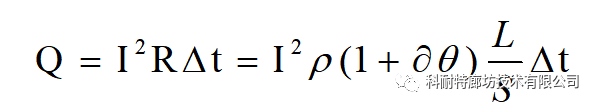
假设通过导体的平均电流为I,电阻为R,则某段时间内的发热量为Q ,则:

导体发热的同时也在散热,散热功率主要与端子之间的热传导、端子与外界空气的热对流,及端子自身的热辐射等因素有关(注:对此部分内容有兴趣的朋友可查阅电子散热的相关书籍、资料深入了解)。
当发热功率与散热功率达到动态平衡时,温度会趋于稳定,温度稳定后的峰值温度与环境温度的差值即为温升。

图1-1 热平衡示意图
强迫散热的工况不确定因素较多,此处以稳态电流的自然散热工况进行讨论。导体的散热功率与其原材料、结构形式、轮廓表面积等因素强相关。这些因素确定后,散热功率基本可以确定,则其导电后温升很大程度取决于发热功率。额定电流一般由用户或工况给定,那么:发热功率主要取决于其电阻的大小。
2 电流、温升分析
以如下截面积相同的圆形和矩形截面的导体为例,进行分析推导:

图2-1 规则导体示意图
设导体的长度是L,截面积是S,材料的电阻率是 ρ ,电阻温度系数是a,导线温度是θ ,导体的发热量Q,则:

当导体发热量和散热量动态平衡后,温度趋于稳定,即发热量=散热量,假设发热量为Q1,散热量为Q2,则:

由上可知:
导体的额定载流除了与材质(材质定则电阻率、综合散热系数定)、截面积相关,还与导体截面的周长、允许的温升(允许的峰值温度减去通电前的初始环境温度)相关,而与长度无关。
注:所以,脱离许可峰值温度、环境温度的载流系数、载流量,以及“拍脑袋”估算载流系数等,都是不严谨的。
载流系数=额定载流量/截面面积。
所以:

可见:
当材料已定,那么载流系数主要与截面周长/面积的比值,以及允许的温升值强相关。
注:一般而言,无论是线缆还是矩形或其他规则截面类的导体,随着截面积增加,周长/体积比值下降,则载流系数也随之下降,而非定值。
该载流系数计算方法在特定条件下准确有效,如果导体表面包覆有绝缘体,以及导体竖放、横放,需重新评定综合散热系数进行推导。
注:导体(尤其铜铝母线类零件)的放置方式不同,会导致导体与空气的换热系数有差异。通常竖放方式,空气更容易因温度差异产生密度差异而产生流动换热。
另外在交流电工况下还需考虑电流的趋肤效应。
对于直流电,整个导体截面内电流是均匀的,单位截面内电流量基本是一致的。而交流电由于电流方向快速变化,内部存在电感,迫使电流产生趋肤效应和临近效应,即导体外表面附近的电流密度大于导体内部的电流密度。
交流电的趋肤效应存在一定的穿透深度,穿透深度的计算可参考:

所以:
1.在交流电环境工况,一般需考虑趋肤效应的穿透深度,避免导体无效浪费;
2.比如50Hz交流电下,铜线直径一般不得超过18.6mm,铜排厚度低于18.6mm,如果载流不够通常采用并联。
交流电存在趋肤效应的弊端但依旧有较为广泛的应用,主要优势在于其升压可行性高,升压设备成熟、低成本,另外超远距离输配电采用超高压、交流电输送,可大幅降低电能损耗。





扫一扫
扫一扫