线束工程师服务平台
可以搜到:产品、技术、资料、新闻、检测、企业、视频
回波损耗会影响插入损耗,即到达接收器的能量。
回波损耗是表征连接器的最重要 S 参数项之一。通过查看此 S 参数项,可以快速区分好的连接器和坏的连接器。以下是决定好坏的原因。
回波损耗,或 S11,用于单端 S 参数或 SDD11对于差分 S 参数,是反射信号。将正弦波发送到互连中,然后查看从同一端口返回的内容。反射信号与入射信号的比率是回波损耗。
获得反射信号的唯一方法是当入射信号在其路径的某个地方遇到阻抗变化时。来自每个不连续性的反射组合导致每个频率的回波损耗。
反思本身并不是真正的问题。真正的问题是传输信号的损耗。毕竟,通道中重要的是到达接收器的信号。一些反射信号意味着更少的传输信号进入接收器。那么,有多少反射信号会在传输信号中产生重大损失呢?
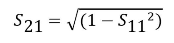
当互连的衰减较低时,入射信号、反射信号和到达发射器的信号之间存在连接。大多数工程师认为是S11+ 不锈钢21= 1。但请记住,每个S参数都是关于一个电压的。没有电压守恒这样的东西。只有能量守恒。
每个 S 参数中的能量与 S 参数的平方相关,因此连接为 S11² + S21² = 1,或者:
现在我们可以探索多少回波损耗将开始影响插入损耗,即发射器处的信号。我们通常测量S

11和党卫军21以分贝为单位。因此,我们需要将分贝值转换为量级,进行计算,然后转换SS21幅度值回到分贝。

图 1 中的图形显示了多少 S 之间的连接11(分贝),将影响 S21(分贝)。令人惊讶的是,你可以拥有高达-10 dB的S11在您看到S下降0.5 dB之前21.这就解释了为什么S上的典型规格11可以小于约 -13 dB。较大的值将开始影响传输的信号。将回波损耗保持在-13 dB以下意味着传输的信号不会受到反射信号的影响。
如果回波损耗小于约-10 dB,我们预计它不会对插入损耗产生任何影响。但是,如果它达到-10 dB以上,我们预计会看到对插入损耗的影响。图2显示了两个互连示例,它们都是4英寸长约50 Ω微带传输线,两端具有不同的连接器。
当回波损耗大于-10 dB时,插入损耗受到影响(图2a)。只要回波损耗小于-10 dB,就不会对插入损耗产生影响(图2b)。

在大多数规格中,决定好坏的标准是-13dB点。“好”连接器的回波损耗低于-13 dB,对插入损耗的影响最小,“坏”连接器的回波损耗大于-13 dB。它可能仍然可以在系统中工作,但您必须进行自己的分析以确定它是否仍然可接受。通常,连接器的回波损耗超过-13 dB的频率定义了它被认为是“透明”的带宽。
扫一扫
扫一扫