线束工程师服务平台
可以搜到:产品、技术、资料、新闻、检测、企业、视频
我们再次拿出转移阻抗的基本原理图为例:

Z1,Z2:分别是内外电路的特征阻抗
U1,U2:分别是内外电路的电压(n:近端,f:远端)
I1:内电路的电流(n:近端,f:远端)
l :耦合长度
Iλ:真空波长
我们发现,只需要使用加减乘除四则运算,就可以用来分析我们传统的低频电路了,不光简单易懂,而且物理图像也很清晰。
那么高频时会是怎样呢?
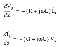
高频信号的电路模型:传输线方程
传输线方程也称电报方程。在沟通大西洋电缆(海底电缆)时,开尔芬首先发现了长线效应:电报信号的反射、传输都与低频有很大的不同。
经过仔细研究,才知道当线长与波长可比拟或超过波长时,我们必须计及其波动性,这时传输线也称长线。
原理图如下所示:

高频情况下,电阻,电感,电容,导纳等参数再也不是集总参数,而必须看作分布参数。

求解上述偏微分方程组,可以得出以下一般解:

上式中的γ为波传播系数,一般表达式为:

其中α为单位长度的损耗常数,β为单位长度的相位变化量系数
回归到传输线方程,波传播系数如下:

当频率很高时,即电阻分量远小于电感分量,导纳分量远小于电容分量,则波传播系数可以进一步简化为:

同轴法测试电路如何重新评估与分析
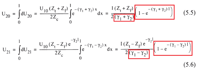
三同轴法测试电路,高频信号能量的传播,几乎全部位于导体间的介质中。因为电缆导体为良导体,沿电缆的纵向电场强度分量很小,相对来说,径向电场强度大多了,从而下图圆圈标识的坡印廷矢量,代表了能量的流动。

在绝缘介质中,波传播系数为:

因为信号为高频,整个电缆长度相较于信号波长大很多,所有总的电磁耦合,将通过把所有无穷小长度电缆的耦合作用相加,即求积分。
下图U10为施加干扰电压,U20 为近端被干扰电压,U21 为远端被干扰电压。

积分求解得:

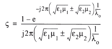
我们研究上式中红框中的公式特性,将其命名为一个如下单独函数:

“+”对应着U20,“-”对应着U21。
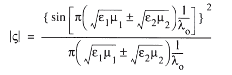
再进一步简化为:

上述方程具有(sinx)^2 / x 的形式,那这个函数的图像如下:

自此,我们最终得到了图形震荡的本质原因。
扫一扫
扫一扫