线束工程师服务平台
可以搜到:产品、技术、资料、新闻、检测、企业、视频
在上一篇推文中,我们了解了电磁兼容的相关基础知识。
对于如何根据高压电驱动系统的电磁干扰特性,提供有针对性的改善或解决措施,则是本文的主要内容。
EMC设计三要素&有源器件的选型
理论与实践证明,任何电磁干扰的发生必须具备3 个条件: 干扰源、传播干扰的途径和易敏感设备。
干扰源、传播途径和敏感体是电磁干扰的三要素,缺一不可。
干扰源,指的是产生变化电压或电流的零部件;
传播途径,包括传导耦合和辐射耦合;
敏感体,即敏感设备,指易被干扰的设备。
作为电动汽车的零部件应从两个方面尽可能优化:一是尽量降低骚扰强度;二是尽可能地提高抗骚扰能力。
为了增强抗扰度并抑制骚扰,高压部件应从电磁敏感度、电磁骚扰发射、芯片封装和电源电压等四个方面优选有源器件;
由于噪声电流和瞬态负载电流是传导骚扰和辐射骚扰的初始源,为实现电源的完整性,高压部件PCB应优选多层板,尽可能减小引线电感;
减小门电路驱动线对地分布电容和驱动门输入电容,以及安装本地去耦电容和整体去耦电容等措施,都是有源器件能够增强抗扰度的有效措施。
电磁兼容设计及具体方法
在进行电磁兼容设计时要求:
①明确系统的电磁兼容指标。电磁兼容设计包括本系统能保持正常工作的电磁干扰环境和本系统干扰其它系统的允许指标。
②在了解本系统干扰源、被干扰对象、干扰途径的基础上,通过理论分析将这些指标逐级分配到各分系统、子系统、电路和元件、器件上。
③根据实际情况,采取相应措施抑制干扰源,消除干扰途径,提高电路的抗干扰能力。
④通过实验来验证是否达到了原定的指标要求,如未达到则进一步采取措施,循环多次,直至达到原定指标为止。
具体到实际设计中,一般需要进行接地设计,屏蔽设计和滤波设计三种方法。
A. 接地设计
在设计高压系统前期,需要分析高压系统内各类部件的骚扰特性、敏感特性、各电路的工作电平、信号种类和电源电压;将地线分类、划组;画出系统布局和系统地线网。
在1MHz以下低频电路部分采用单点接地,10MHz以上高频部分采用多点接地;
电源地线都接到电源总地线上,信号地都接到信号总地线上,两根总地线最后汇总到一个公共入地点搭车体连接;
信号源接地时,屏蔽层须在信号侧接地;
采用信号隔离变压器、平衡变压器、光耦合器和差动放大器实现对地环路的隔离;
B. 屏蔽设计
屏蔽是在两个区域之间建立电磁屏障保护系统中的电路不受电磁环境损坏的最直接方法。可采取两种屏蔽方式:其一,主动屏蔽;其二,被动屏蔽。
屏蔽所使用的材料包括:铜、铝和镁等良导电材料(用于高频电场屏蔽)和铁和镍铁高导磁合金(用于低频磁场屏蔽)。
C. 滤波设计
屏蔽主要是为了解决辐射干扰,而滤波则主要是解决通过传导途径造成的干扰。
完成滤波作用的部件称为滤波器。滤波器主要抑制通过电路通路直接进入的干扰,它是应用最普遍的抗干扰方法。
根据信号与干扰信号之间的频率差别,可以采用不同性能的滤波器,抑制干扰信号,提高信噪比。
虽然高压线束是无源器件,但整个高压交流系统具有较强的电磁干扰性,而线束零件作为从电源、电器设备、地(即车身)之间的连接通路,正是整车电磁干扰的“重要传播途径”。
同时,低压线束,尤其是低压通信线束,也是受电磁干扰影响较大的零件之一。
地电流造成的干扰
受成本和装配限制,车身上可供接地的点是有限的。因此,多个设备通过同一个接地点与车身接地是不可避免的。
另外,设备的接地线也受制于成本、重量、线束安装等诸多考量,只能在合理范围内选择合适的导线线径,存在一定阻抗。
换句话说,电器件到蓄电池负极的接地路径电阻不是零,这就导致整个回路上存在着不均衡电流,并互相影响。
汽车电子设备的接地方式一般为单点接地和多点接地的混合形式。

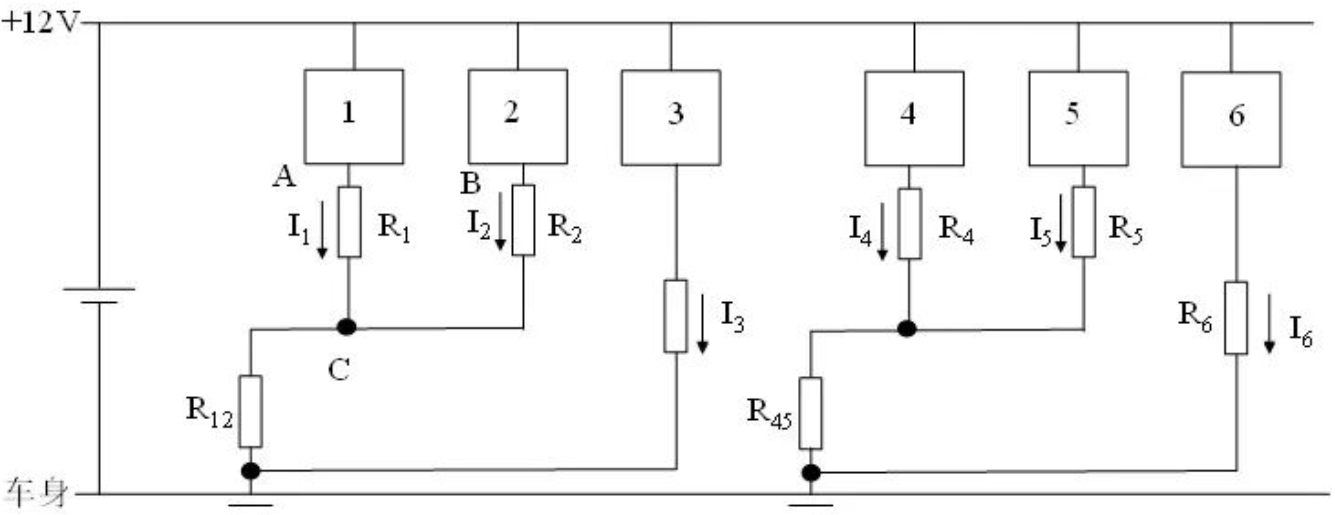
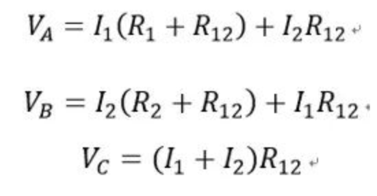
汽车电子设备接地方式示例
以设备1和设备2为例,A、B、C点电位分别为

由于地电位不为零,流过设备1的电流对设备2的地电位造成了影响,进而影响设备2的电压,同理,流过设备2 的电流也会对设备1造成影响。如果设备1或设备2的接地线过长、线径不够粗,那么地电位的影响会更大。
导线间的串扰
线束由若干导线捆扎而成,每个回路上流过的电流特性各不相同,导线之间不可避免地存在串扰,并且向周围环境辐射电磁波,对车内或车外的电子设备造成干扰。线束如果自身防护做的不好,就会直接暴露在电磁干扰的环境下。
线束虽然不能脱离电子设备而独自实现某种功能,但线束自身受到的电磁干扰会直接影响到与其连接的电子设备。尤其是当电子设备对微弱信号较为敏感时,这种影响可能会直接导致控制器误判而下达错误的指令,造成功能性故障。
导线之间的串扰分为电容性耦合和电感性耦合两种形式。平行布置的导线之间的电容和互感在某些频段下不能被忽略,导致捆扎在一起的导线之间产生电磁干扰。

电容性耦合和电感性耦合
线束零件EMC设计
零部件电磁兼容性是整车电磁兼容性的基础和前提,用于新能源车上的零部件应满足零部件电磁兼容性要求。
整车范围内首先保证零部件的EMC性能是符合标准要求。新能源汽车整车级屏蔽设计的重点应是高压系统的布局、屏蔽设计以及CAN通信网络的抗干扰性处理。所以,在改善EMC的性能上我们应该这么做:
尽量降低干扰的强度
是尽可能地提高抗干扰的能力
适当的应用屏蔽设计
但实际上,整车电磁兼容测试往往出现这样一种情况,单独对某个电子设备进行电磁兼容测试合格,但将其放进整车时却无法通过测试,这往往跟线束有很大的关系。
基于以上原因,线束零件电磁兼容设计的重要性不言而喻。
线束EMC设计包括电源设计、搭铁设计、布置设计和导线选型四个方面。
电源设计&接地设计
电源供电
由于很多电磁干扰都是通过电源耦合到电子设备中的,所以在系统供电上做专门的电磁兼容性设计。增加有效的变压、稳压、滤波电路,使用高效率的开关电源芯片和稳压滤波效果很好的低压差线性电源芯片为系统提供稳定可靠的电源。
对于电源波动敏感的传感器类电器件,不能与电压波动大的电器件共用电源。

图 202 点火线圈与传感器的电源须分开
a. 对电源要求特别高的传感器和执行器,不应直接从电源取电,应将电源提供给控制单元,经过控制单元处理后再供给传感器和执行器,从而保证其电压稳定可靠。
b. 和车辆主动安全及被动安全相关的电气设备(例如ESP等),大功率设备(例如空调),这些电气回路上须采用独立保险丝,不应与其他电器件共用电器件。
接地设计
使用去耦电容:每个集成电路的电源,地之间都加一个去耦电容。
去耦电容有两个作用:一方面是本集成电路的蓄能电容,提供和吸收该集成电路开门关门瞬间的充放电能;另一方面旁路掉该器件的高频噪声。
地线分隔:采用4层电路板设计以减小电源,地的寄生电感,有效增强系统的EMC性能。单独的电源层和地层可以有效防止器件之间通过地线和电源的相互耦合,另外对于有不同性质的地线采用分割隔离的方法,使不同属性的地线的电流走不同的路径,可防止信号串扰。
汽车电子设备大都通过线束接到车身上的各个接地点,一般认为,车身的阻抗比线束的阻抗要小得多,据此,对于接地设计须尽可能遵循以下规则:
(1) 接地线长度不能过长,如果长度不能调整对较长的线束,为减小传导和辐射干扰,可以考虑在线束上增加滤波,比较方便的方法是套接合适的铁氧体磁环。
(2) 集成电力电子用电器的接地线最多只能通过一个连接钉接到车身上;
(3) 安全系统的接地要与其他电气接地分开布置,甚至双接地,气囊点爆装置的功能地和静电地要分开;
(4) 传感器的地不能和负载地(加热器,电机等)、有大电流和电压梯度的零件的地(点火线圈,喷油器,风扇、电源控制器等)通过同一个连接钉接地;
(5) 各控制模块的电子地与大功率感性负载的地线应分开;
(6) 大功率的LIN (Local Interconnect Network, 局域互联网络) 节点其信号地和功能地要分开;LIN网络的主节点和从节点使用同一个接地点;
(7) 信息娱乐系统的接地呈星形分布,且不能与其他类型的设备共同接地;
(8) 同系统可共用接地,避免不同系统间的串扰。
布置设计
不同类型的导线回路在线束中一起捆扎无可避免地会互相影响。因此,易造成干扰的导线和易受干扰的导线应该尽可能地分开布置,建议遵循以下规则进行线束布置:
(1) 传感器之类的弱信号线不能与大功率感性负载的电源线、地线并行布线,类似设计必须提前到整车拓扑设计阶段进行。如无法避免,则需要增强弱信号用电器的抗干扰能力;
(2) 高压线的走向稍稍变更,整车的EMC测试趋向就会有很大的变化,高压线束应尽量沿车身布置,优化整车电磁辐射的环路,利用车身行程封闭的屏蔽舱;
(3) 高压线束和低压线束应分开布置,间距尽量大,必须靠近时应尽可能垂直交叉布置;
(4) 收音机天线周围不能布置普通导线,且天线延长线需尽可能紧贴车身布置;
(5) 阻抗转换器与天线结构之间的连接,以及收音机滤波器与天线结构之间的连接,均不能和其他线束一起捆扎走线;
(6) 承载大电流时钟信号的导线必须在距离收音机、放大器等较远的地方布置;
(7) 通过继电器切换的雨刮电机的电源线和地线必须一起靠近布线,倒车影像的电源线和视频线须沿着车身的同一侧布线,倒车影像的视频线应避免和流过PWM信号线一同捆扎。同方向布线。
本文我们介绍了线束零件设计阶段应如何根据高压电驱动系统的电磁干扰特性,提供有针对性的改善或解决措施,下篇推文,我们将继续为大家带来如何选择特殊导线来解决车辆信号数据传输速率的问题,以及整车电磁兼容的基本测量方法和汽车电子兼容标准体系。
扫一扫
扫一扫