线束工程师服务平台
可以搜到:产品、技术、资料、新闻、检测、企业、视频
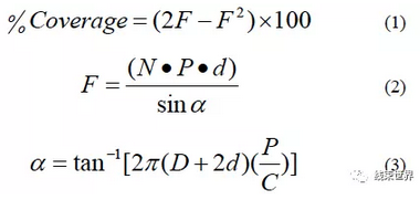
新能源汽车标准的高压屏蔽电缆设计通常用很薄的叠层屏蔽带(LST)和单层的编织,或单一的编织层。本次调查的范围仅限于各种单一编织产品和相关的屏蔽性能。各种标准的屏蔽设计之间的主要区别是过量的编织百分比。为确定标准屏蔽电缆的整体目视编织覆盖率和典型设计参数的说明参见图1。

传统的逻辑猜测,目视编织覆盖率越大,屏蔽效能越大。最近的研究表明,发现相当数量的汽车高压屏蔽电缆产品屏蔽设计却相反。其中编织覆盖率增加屏蔽效能特性却降低,术语表征这个特性被称为过编织现象。

公式(1),(2),及(3) 显示了如何计算屏蔽电缆产品的编织覆盖率。
其中:
α = 编织角 (弧度)
D = 编织前直径 (cm)
C = 股数
d = 编织单丝直径 (cm)
P = 单位厘米的目数 (PPCM)
N = 每股的根数
这种现象在同轴电缆行业并不新鲜。IEC标准化组织提出了一份文件(IEC62153-4-1),讨论这个问题,但在该设计缺陷的支持测试数据或可能的故障模式方面没有详细说明。
本文将讨论几种编织结构,并证明这些设计如何影响屏蔽电缆产品的整体屏蔽效能。本文的目的是告知整个行业的专业人士过编织现象,并希望尽快在这个领域进一步研究。
有用于表征屏蔽电缆的屏蔽性能的各种屏蔽效能的测量方法。三个用于屏蔽电缆比较常见的方法有三同轴(ANSI/SCTE78),GTEM小室(48-3),和CoMeT管(IEC62153-4-4)。在本文中选择记录屏蔽电缆性能特性的测量方法是CoMeT(耦合测量管),因为它正变得越来越流行在电缆行业。
为什么CoMeT是越来越受欢迎有几个原因。这些原因包括测量更加精确,事实上,它可购买“现成的” 完整的测量系统用于两端的连接器和电缆制造商。下面的图2显示了CoMeT测量系统。

CoMeT测量系统由几个部分组成,如图3。对有一个在相关领域的技术背景的人CoMeT的操作背后的理论是比较简单的。RF发生器(通常是网络分析仪)在一个预定义的频率范围内发送一系列的RF信号。
选择用于此实验的频率范围为30MHz至1000MHz的。这些信号通过在被测电缆的旅行而终止于一个阻抗匹配电阻。电阻器的另一端连接到外导体外侧的屏蔽。被测电缆的屏蔽变成CoMeT“管”的中心导体。
由于被测电缆的屏蔽变成管的中心导体,相关被注入到电缆中的信号其耦合到被测电缆的外表面的任何电磁能量将通过网络分析仪测定。
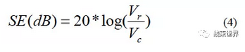
公式(4)演示了如何计算屏蔽效能的方法。

其中:
SE = 以分贝为单位的屏蔽效能
Vc = 耦合电压 (泄漏)
Vr = 基准电压 (注入)

其中:
1. 网络分析仪的输出
2. 被测电缆 (CUT)
3. 测量管
4. 匹配电阻
5. 网络分析仪的接收部分
L. 测量长度
3.1 影响因素
屏蔽电缆的屏蔽效能模型不是一门精确的科学。影响所用包带和编织设计的一些电缆屏蔽性能的的特性因素很多。其中的一些因素包括但不限于以下内容:
• 编织覆盖百分比
• 编织角
• 编织线根数(单丝)
• 屏蔽类型设计
• 单位厘米的目数
• 单丝直径
• 编织张力
• 护层的压缩
• 测量方法
在这个实验中,焦点集中于编织覆盖的百分比,编织角,单丝根数,和每厘米的目数。整个实验过程操作者,编织机,和护套生产线保持一致。
在每个设计中使用同样的介质成分和护套材料努力减少样件和样件之间的变差。表1显示了这个实验设计的方案。

而设计表1中所列的编织配置,许多考虑因素为最终决定于该设计将被制造并进行分析。其中一些因素包括编织机的齿轮比,提供工具和速度问题。最终确定,在表1中列出的6种设计足以证明过编织现象是真实的,他们提供选择的参数足够进行变化的分析。
3.2 编织分类
提起编织设计,有三种分类。第一种眼下的编织设计,其中没有足够的编织存在充分优化的电缆的屏蔽效果。第二种情况是优化的编织设计,其中最好的屏蔽性能的实现。最后的分类是过编织的现象,其中过多的编织是当前和这个编织设计实际上降低了屏蔽性能。
在本文所述的实验突破性的把设计只分为两大类,主要是因为在优化设计目前尚不清楚这一点。因此,表1中的前三个编织设计被归类为“低编织”,而最后三个编织设计被列为“高编织”。低编织设计是那些编织覆盖率小于80%电缆的表面积。高编织设计显示的是那些编织的覆盖范围用大于90%的表面积。
结果的分析将与开始这两个分类的意思对应,那将进一步以假设的一些设计变量的影响进行。
3.3 屏蔽测量和结果
3.3.1 测量
按6种编织设计进行制造并使用CoMeT测量系统进行符合第2章所述的测量。每个设计取十个样品进行测试。取平均值而得以产生一个单一的测量轨迹。它已被证明在过去的分析中,该平均化的这种方法显著减少了与测量误差的相关联的测试的变化。
3.3.2 结果
结果见图 4 和图 5。


对图4和5中结果的直观审查表明,低编织和高编织设计之间存在差异,同一类别内的设计之间的差异可以忽略不计。
3.4 设计因素分析
在本实验之前,假设编织角、每厘米的目数和匹配的股数和根数将提供一些对表征过编织现象的重要变量的见解,以及如何优化仅基于电缆的屏蔽性能。关于编织的设计。为了进一步检验结果,决定将低编织设计和高编织设计的结果分开,表2显示了三种低编织设计的屏蔽性能降序。已经统计证明,这3个设计之间的差异不足以确定哪些因素主导电缆的屏蔽性能。同样可以说,在表3中列出的高编织的设计,屏蔽性能也呈递减顺序。在同一类设计之间的任何比较表明平均值的差异不超过2dB,这在屏蔽效能方面更是无关紧要的。
因此,决定以比较表2和表3之间的结果。它已被证明在3.4节的低编织设计都优于高编织(过编织)的设计。
基于这些结果,本设计之间唯一确定的特征是每股根数和整体编织覆盖率。三种低编织设计都使用较低的每股数量,并且比高编织设计具有较低的整体目视编织覆盖率。

其他唯一感兴趣的6种设计的目视检查。看来,在低编织设计编织比那些高编织设计的更紧,更均匀。这种视觉证据可能不外乎较少的根数和更高的编织角的好处,但作者认为,它至少是值得注意的。
本文提供的信息证明了超编织现象的存在。为什么直到最近才在业内讨论。可能是测量技术的进步使识别这种异常成为可能。不管是哪种发现方法,多年来的研究范式都是屏蔽电缆表面的目视编织层覆盖率越大,屏蔽性能就越高。
该项目的优势在于向行业的专业人士提供了可靠的研究数据。继续试验的结果提高了生产效率,降低废品相关的成本,减少库存,降低非增值成本,并为有关电缆的屏蔽效能的OEM客户整体提高了产品的性能。
扫一扫
扫一扫