线束工程师服务平台
可以搜到:产品、技术、资料、新闻、检测、企业、视频
基于六西格玛设计的汽车线束设计应用研究
目 录

(一)企业介绍
XX公司是一家专业设计和制造汽车线束的跨国大型汽车零部件企业。XX公司的技术中心和工厂遍布4大洲,服务着几乎全球绝大多数的整车企业。
2000年以后,中国整车销量逐年递增,整个汽车市场的竞争也越来越激烈。为了迎合终端客户的需求,各家整车企业都在快速发展,很多整车企业都在争先恐后地加快推陈出新、更新换代的节奏。所以也就更加需要高质量、高效率及低成本的设计方法与之匹配。
与此同时,很多本地主机厂也开始跟随和学习国外的主机厂,引进先进的软件与技术来帮助企业优化资源分配和产业升级。各种软件有CHS, Ldolado, EBCable等。通过软件的辅助可以大大缩短线束产品开发或者二次开发的时间,在产品的生命周期里,对于人力和财力而言,总的来说也都是有利的。虽然有软件的大力支持,但实际上,线束设计还是不能完全离开工程技术人员在设计方面的辛苦劳动,如经验教训、设计评审、设计验证等工作都是需要花费相当多的精力和耐心。
汽车线束设计是一个相当繁琐、复杂的设计。首先,它的牵涉面广,整车上的所有电子电气件都会影响到汽车线束这个产品。其二,它是由相当多的零部件组装而成,最大的单根线束可能会高达上千零件组装而成。其三,设计注意环节相当多,需要考虑整车线束布置的可靠性、耐用性、以及零故障率。所以,需要一个严谨的设计方法和设计流程来保证最终产品设计的高质量、低成本、以及高效率。
XX公司致力于线束设计已经很多年了,最先进的设计方法和流程都是比较适用于全球化的主机厂,例如通用汽车、福特汽车等。由于国内OEM一直以来都比较注重产品本身的性能,轻设计方法和过程,所以我们国内公司也就针对主机厂的要求偏向工程师人工的机械工作来保证产品设计的最终准确性、及时性。
(一)六西格玛的统计意义
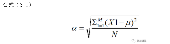
西格玛()首先是个希腊字母,在统计学上引用过来被称为标准差,其数值大小可以体现每个试验样本距离所有样本平均值的偏离程度。值越小越好,样本数据越分散,值就越大;然而,样本数据越集中,值也就越小。它的数学表达式如下公式(2-1)。

式中:X;为样本观测值;林为样本平均值;为样本容量,样本容量需要足够、且有限大。
样本的分布可以用正态分布图来表示,六个西格玛就代表过程波动相当小,绝大多数样本都临近目标值周围,所测样本满足客户需求的能力相当强。若是三个西格玛,所有样本波动比六个西格玛的样本波动稍大,比六个西格玛的样本分布更分散,也不比六个西格玛能够满足客户要求。
那么,用“’值转化出产品的缺陷率,从而来衡量产品的质量水平。六西格玛的产品质量水平对应于过程的缺陷率要达到3.4ppm C ppm指百万分之一。
(二)六西格玛管理的特点
首先六西格玛管理所围绕的中心就是客户需求。六西格玛管理是用更加全面的方法和工具,来反应客户期望的所有环节。六西格玛改进的效果是以给客户和企业带来多大的价值和满意度来计量的。六西格玛管理关注的需求包括客户的一般需求和关键需求,还包括超越客户期望的需求。这些需求包括了质量、成本、交付、服务等的全面期望。对于各个客户来说,他们的关注点会稍有差异。企业要把客户的期望作为目标,不断地超越这种期望,通过运用适当的方法和工具,西格玛水平也就可以从3a水平逐步提升到6a水平。
数理统计是西格玛计算基础,六西格玛管理必须以数据和事实样本来作为依据,来推动六西格玛要求的管理结果。数据是测量得来的,所有生产表现和执行能力都以数字来说明,实测的数据能够最真实的反映事实变化情况,最终作为分析和决策的依据。数据之所以重要,是因为数据是客观的反映。通过数据分析,我们可以了解到过程的变化和需要改善的地方。同时,这个数据也必须是最新的、实施的数据。通过数理统计的分析方法(如假设分析法、回归分析法、方差分析法等),推算出数据发展的趋势和方向,研究可能的因果关系,再进行验证,直到挖掘出根本原因,然后研究并实施合理有效的对应措施,最终根本性地解决问题。
六西格玛管理的重点就是要给工作都做出适当的流程或者进行流程评估和优化。无论是设计,还是生产制造、服务领域、提高客户满意度、绩效评估等,都要把流程管理作为关注的重要对象,因为所有的浪费、甚至危害都存在于流程当中。六西格玛管理方法就是要运用统计学的工具来分析每个流程的方方面面和影响因素,来找到最重要的影响因素。通过改进流程或者流程再造达到最终提高产品设计或者生产服务的质量水准。流程的改进不是一朝一夕就能成功的,需要持之以恒的持续改进,需要通过六西格玛的方法,对其进行分析和改进。通过不断的持续改进,解决一个又一个的问题,消除一个又一个的缺陷,最终实现产品质量和服务水平的提升,达到持续改进的目的。
能够熟练运用六西格玛管理方法,员工和领导者都会成为发现缺陷和解决缺陷的专家。缺陷发现得越多,自然企业员工和管理者越会觉得需要主动改变和解决缺陷。员工就会养成一个习惯,每天都会问自己,“现在我的项目,我的工作达到几个西格玛?哪里还需要持续改进?能改善到什么程度?通过努力有改善了吗?”这样,企业就建立了持续改进的文化,从而进入了一个不断改进的良性循环过程中。这种持续改进的企业文化必将给企业带来长远的利益。
第三章 六西格玛设计在XX公司线束产品设计上的应用
1.产品介绍
所谓汽车线束就是通过带绝缘层的导线、连接器(接插件)、端子、保护覆盖物、紧固件等组成,用来连接整车电气设备的总成。汽车通过线束来提供电源、信号、接地等功能给整车各个用电设备或者模块。按照整车使用环境的不同,分为简单线束(小线束)和复杂线束(大线束)。简单线束是指比较少的回路集合在一起的线束,如:门线束、后备箱线束、油箱线束、前保险杠线束、后保险杠线束、牌照灯线束、顶棚线束、前大灯线束等。而复杂线束就会有相当多的导线回路集合在一起,例如发动机线束、仪表线束、车身线束等。


首先会是设计部门根据设计要求建立设计团队,该设计团队的成员要求会根据项目的不同时期和任务大小,会有变更。原因是项目前期的设计任务重,需求的工程师也就较多些。见图3-3是该项目起初的人员配备情况。
在汽车线束的项目启动会上,项目经理把各个部门的项目相关成员组织起来开项目A的启动会。在会议上,项目经理介绍关于该项目的所有相关重要事宜,即项目章程。下图3-3是项目A的章程说明。里面说明了项目A的项目内容(整车线束)、项目时间节点、项目产能需求、项目生产基地和配送基地、项目的投入金额、项目赢利目标等。

除了项目的要求和目标以外,对于项目A开发的职责问题,客户在设计任务包里列明了RASI(职责Responsible、审批Approve、支持Support、被告知Informed,规范了供应商和客户的职责划分。然而在企业内部,项目也同时确定了整个设计团队成员。由资深黑带或专家人员带领整个设计团队,并安排好各成员的职责划分RASI,责任和支持都互有穿插,起到相互合作和监督的作用,保证项目升级的准确性和及时性。
通过以上章程的安排,项目各成员可以清晰地了解整个项目,这样不但可以调动成员的主人翁精神,还可以减少矛盾和浪费。最终达到所有人员力向一处使。
六西格玛设计就是要准确了解、定义和分析客户的需求,因为最终要把客户的需求融入到设计中去。这个也是与六西格玛设计的要求相一致,即要以客户需求和期望为设计准则。因此,要想正确地倾听客户声音,首先我们要充分地调查清楚客户需求和期望的每一个细节;然后对这些细节进行逐一识别和分析;最后采用正确的方法进行归纳总结客户需求和期望,获得关键质量特性。这一阶段如果发生错误判断,哪怕是一个很小的小错误,都可能回给产品设计带来严重的后果。所以,我们要认真、细致地对待每一个环节。外部客户进采购、销售等职能部门客户的界定如表3-1

接下来,设计团队针对不同的客户,通过不同的渠道去获取客户的声音VOC并加以分析。客户的声音VOC的获取途径有很多,如:询问调查、定点观察和调查、观察再调查等。
接下来,我们就要进入六西格玛设计中的核心部分,即分析阶段。在这一阶段中,设计师们需要认真研究数据资料,充分理解问题和过程,在此基础上,分析问题来找到问题发生的根本原因。在这一阶段所涉及的方法与工具有很多,可以根据具体的项目情况来选择适合的方法和工具来展开分析。针对汽车行业,在分析阶段,也有它的相对特殊性,当然要求也是非常的高。对于汽车线束的设计,一定是要建立在所有设计输入冻结的基础上,才能最终确定设计方向。当然,在设计初期的分析阶段,需要专家根据客户的有限输入信息大概的做出分析以作参考。针对汽车线束项目A,主要可以分析以下3条。
参考其他车型进行比较设计Benchmarking 。定义阶段我们已经直到项目A的汽车车型是一款紧凑型三箱车,就可以找到相同级别的对标车型来做Benchmarking的分析比较。方便将来运用比较好的设计方案以满足甚至超越客户的需要。
针对项目A,我们拆解并研究了具有代表性的、同档次的三家竞争对手的汽车线束。最后完成了数量庞大的对比报告。这些报告给后面设计提供了很多实际应用的依据。在后期设计时,它们确实发挥了很大的作用。


汽车线束的设计通常由两部分构成,包括原理设计与3D设计。首XX公司通过多年研究,并总结了系统设计的手册(Handbook。每位系统工程师,在做设计前,都必须通过公司的系统工程师的岗位认证资格考试。只有通过了相关测试,才能真正有可能设计出符合客户需求的系统设计。
第二是3D设计,使用的软件是Catia V 5(由法国达索公司开发)。这个设计主要是在整车三维数据中实际设计出线束的三维走向。这个过程需要知道客户的设备放在什么地方,并考虑线束的合理布置。过程当中需要和客户的3D工程师和其他很多相关部门进行讨论和研究,才能最终确认线束在整车环境中的实际附着点。3D工程师也同样需要学习产品设计的手册(Handbook,通过公司的3D工程师的岗位认证资格考试。这样在设计的过程中,设计工程师在发现问题的时候,也就能够有理有据的说服客户了。
一般情况下,在项目前期,客户提供的资源和信息不足的情况下,设计工程师就需要对汽车线束的整体状况做一个概念设计。这个概念设计的输入信息包括了整车厂提供的功能清单、整车厂总装的要求等。对于汽车线束来说,这个概念设计的输出就是前期的架构设计。下面是项目A的架构设计拓扑图,见图3-4。通过概念设计,事先大概定义出线束的分类和划分,重要零部件的大概分配,定义出线束和线束的连接点、电源分配布局、接地分配布局、配置信息等。这个概念的设计可以起到提纲掣领的作用,相当于写文章的一个总结性的开头。
项目A的概念设计定义出的线束划分为:
.发动机舱线束(Engine Bay Wire Harness
.电源正极线(Battery+Wire Harness
.车身线束(BodyWire Harness
.发动机线束(EngineWire Harness
.仪表线束(IPWire Harness
.顶棚线束(RoofWire Harness
.燃油箱线束(FuelTank Wire Harness
.电源负极线束(Battery- Wire Harness
.后备箱线束(LiftgateWire Harness
.前保线束(FrontBumper Wire Harness
.后保线束(RearBumper Wire Harness
.前后门线束(Front& Rear Door Wire Harness

3.试验设计分析
在工程设计领域,试验是用来检验设计的重要方法之一。要做试验,首先我们就要设计试验项目。在分析阶段,还可以做的就是试验设计。这也是可以在客户工作任务包里面找到。试验的设计主要是针对关键特性CTQ来定义的,在失效模式及后果分析中已经列出,找出每一个失效模式对应的探测方法,这些探测方法就是设计的试验。
汽车行业经过了上百年的开发过程,各个主机厂都有各自的整车试验计划。在试验计划定好后,需要和客户进行讨论并确认。首先,整车线束的试验项目会分为需要在整车上做的试验和线束产品单独可以做的试验。整车试验项目都在客户端整车级的试验清单里面了,这个需要和客户事先说明。而针对线束产品单独做的试验则需要在线束级的试验计划里列明。试验计划过程如下:
第一,根据设计失效模式及后果分析里面的内容,列出所有需要做的试验项目;
第二,区分线束级试验和整车级试验;
第三,列出需要做的线束级试验。
通过这种方式,可以得到需要做的线束级试验有哪些,然后对所有试验进行划分,再根据客户的试验标准要求进行归类。最后就可以得出规范化的设计验证计划(DVP)了。
我们列出的项目A的试验计划包括:线束常规生产验证试验、压接验证试验、环境试验(高、低温耐久试验和热冲击试验)、门摆试验(针对门线束)、电性能系统级试验(短路试验、堵转试验、导线耐久试验)、耐油和防水试验、烟雾试验、及子零件新开发部品的试验等。整车干区和湿区线束的要求略有不同。湿区要增加防水、耐油等试验。每个试验都需要确定明确的试验方法(标准)、目标要求、以及责任人等。设计验证计划(DVP)确定后,需要客户签字确认,以确定采用的试验标准和项目。之后,就可以召集各职能部门(试验工程师、工艺工程师、质量工程师以及项目经理等)会议,把客户确认的设计验证计划(DVP)共享给各部门,确认每一项的内容,最后要求填出每项试验的开始时间和完成时间。再与客户确认同意。
系统设计的原理图相当复杂,这里就不呈现了。系统原理图主要是体现各个电路或者回路的连接关系,不体现线的长短。系统原理图主要表示出电路逻辑,包括回路(每根单独导线)走向、导线大小、接插件或者电器盒信息、保险丝信息、继电器信息等。它只表示跟电路相关的信息,不显示和电路无关的其他信息。
下面请看图3-5是项目3D走向。最终的3D的线束划分基本和概念阶段的线束划分是一致的。当中拆分出来一个新的前大灯线束(ForwardLamp WireHarness)和牌照灯线束(License Plate Lamp Wire Harness。完整版的三维走向体现了线束实际装配到整车上的模拟状态,尺寸基本接近真实状态。

通过以上要求完成原理设计和3D设计后,就到了要求把设计转化成可制造使用的两维图纸。项目A的两维图纸需要使用公司内部的一套软件进行转化,该软件的成功率和准确率都相当较高。该转化工作主要由其他两维画图工程师来完成,就不在这里详述了。
产品设计的完善阶段是和DFSS的验证阶段相对应着的。设计验证包括两部分,即产品虚拟验证和实物物理验证。它们具有先后顺序,通常先完成虚拟验证,再进行实物物理验证的试验。1.产品虚拟模拟验证(Virtual Test)根据流程规定,在设计任务完成70%左右时就要求进入虚拟模拟验证试验阶段了。XX公司首先建立一套虚拟验证的软件系统。这个虚拟验证软件系统可以在没有制作出实物的情况下,把设计数据导入到软件的各个模块去进行分析,并最终得到虚拟验证的报告。虚拟验证主要是做如下验证:
区域工程主要指的是在整车环境里,画出任意相邻两固定点间线束段在最大公差情况下的可能活动到的区域包络。他不用考虑线束的覆盖物的大小,最终研究导线可能碰到的干涉点。区域工程在线束开发上可以得到如下好处:
(1)可以在早期判断出所有可能的潜在风险;
(2)可以改善线束可靠性,并提高线束设计质量;
(3)可以帮助工程师在做设计评审和路试车辆管路评审前就可以找到相关的干涉问题;
(4)有利于早口确定线束的保护方法,减少设计变更带来的其他潜在失效模式;
(5)有效地支持产品设计失效模式及后果分析的开发;
(6)减少后期实车验证发现的问题;
(7)提高设计的效率;
(8)降低设计成本。
整车线束最容易出现线束干涉情况的部分就是发动机舱区域。因为发动机舱里面的布局非常紧密,线束需要在各个设备的夹缝中间穿行,一不小心就有干涉的风险存在。发动机舱里面的环境也相当恶劣,比如震动频率大,环境温度高等。所以,我们需要对整车线束进行逐一排查,任何干涉都可能对线束的可靠性造成影响。图3-6是项目A的项目初期完成的区域工程结果图。

区域工程完成以后,也会出具详细的风险提示报告。然后设计工程师,针对区域工程的风险报告,评判每个干涉点潜在的失效模式。根据不同区域,选择适当的保护材料,比较好的保护材料有绒布胶带、布基胶带、PVC套管、波纹管、编制套管、增加固定点、选择支架等。具体问题具体分析,根据实际情况选择适合的材料零件。然后,由于新措施降低了线束的失效风险,最终还要维护设计失效模式及后果分析报告。
一般整车厂都会要求做车门摇摆测试,这是为了能够检测门和车身之间的相对运动对车门线束的影响情况。门摇摆试验主要验证下面两个方面:
(1)门线束上橡胶件耐久测试。门在开关几万次后(不同的门,根据标准要求开关次数不一样。橡胶件要求完好,没有裂口或者破坏。
(2)门橡胶件里面的导线的耐久测试。门在开关几万次后,要求导线完好,铜芯不能外漏或者折断。门摇摆试验的虚拟验证是指模拟橡胶件的疲劳强度和每根回路导线的疲劳强度,软件通过计算它们的疲劳强度累计直到疲劳极限,就可以得出模拟试验的结果。虚拟试验的结果是否通过,就说明了橡胶件的结构设计是否正确或者导线的选择是否正确。
做虚拟试验,对项目有两点好处。一是可以缩短门橡胶件的开发周期;二是可以节省好几次的实物试验和修模的费用。XX公司开发的虚拟软件就可以在没有实物的情况下通过软件计算出门线束的可靠性。项目A就在前期做了这个虚拟试验,当时做了总计四次虚拟试验,每次都是橡胶件的结构设计不合理。经过橡胶件的供应商不断地修改橡胶件的设计,最终第四次通过了虚拟试验。很明显,帮助主机厂节省了3次实物验证的费用和3次修模的费用,同时还缩短了橡胶件的开发周期。
任何设计最终都是为了能够正常的生产出产品来。生产出来的实物产品才能满足人们的需要。这里要说的是,实物的物理验证是必不可少的。具体的实物试验验证的项目都在分析阶段已列明在设计试验计划里了,这个时候只需要按照之前的设计试验计划(DVP)来进行。实物验证需要图纸发布后,工厂按照图纸加工出实物样品后,提交实物样品到实验室完成所有试验计划里面的试验。最终实验室要提交每项试验的试验报告。如果实物物理试验未能通过,需要通报客户,找到造成试验失败的根本原因,加以设计变更之后,重新做实物物理试验。项目A由于在前期设计考虑周到,设计评审充分,在实物物理验证环节比较顺利的通过了。前期虚拟验证做过的门线束摇摆试验,在实物物理验证环节,也要通过实物进行确认试验。图3-7是项目A门线束摇摆试验的虚拟验证和物理验证的比较。
从比较中可以看出,实物物理试验的失效区域和虚拟模拟试验的失效区域都是在靠近橡胶件的同一侧的差不多距离的位置。通过比较虚拟验证的结果还是比较接近实物验证的,所以该虚拟验证是可以作为橡胶件前期设计的依据的。

在以上虚拟验证和实物验证结束的时候,我们需要对他们的试验结果分别进行评估。如果有失败项,我们需要把失败项纪录到设计问题清单里,提出改进方案,最终和客户一起进行确定工程变更方案。然后,在下一阶段针对失败项进行重新做试验验证,直到试验通过。如果全部试验都通过了,那么说明设计的失效模式都被控制住了。
针对项目A,第一个阶段设计工作经过4.2章节完成了。但是汽车工业的设计和变更是相当复杂的,在接下来的每个阶段,都会发生各种各样的变化,可能是自身的变化,也可能是周围环境发生了变化。只要是变化,我们就需要重新评估并再使用一遍六西格玛设计这套过程(设计变更到验证,再到设计变更)。这个过程一直要运用到批量生产阶段,产品设计才算比较稳定了。
最后,六西格玛设计在本文项目A的实际应用和详细说明,让大家对该方法和工具有一定的了解。尤其对于汽车线束六西格玛设计路线,也是一次非常好的应用与总结。本章只是本人研究的一个例子。在整个六西格玛设计的方法和工具里,还有很多值得去挖掘、研究和应用的。
扫一扫
扫一扫